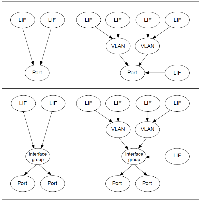
Antes de explicarmos a criação de um Failover-Group, é preciso entender o que é uma LIF. LIF (Logical Interface), como seu próprio nome sugere, é uma interface virtual que provê acesso de gerenciamento ao cluster, aos nodes e acesso a dados dos SVM. As LIFs podem ser criadas a partir de uma porta física, de uma Vlan ou de uma Interface Group.
Abaixo, detalhes da “hierarquia” das LIFs:
Existem cinco tipos de LIFs, são eles:
Cluster LIF: LIF utilizada para comunicação Intracluster, isto é, entre nodes do mesmo cluster.
InterCluster LIF: LIF utilizada para comunicação entre dois clusters distintos, também chamado de Cluster Peering.
Cluster mgmt: LIF utilizada para gerenciamento do cluster.
Node mgmt: LIF criada durante o setup do cluster, que provê acesso de gerenciamento aos nodes do cluster.
Data LIF: Associada a um SVM, é utilizada para comunicação de dados entre clientes e Storage.
No DataOntap Cluster-mode, em todas as suas versões, é possível realizar a migração de LIFs entre os nodes do mesmo cluster. Isto pode ser feito de forma manual, através do comando:
network interface migrate –vserver nome_do_vserver –lif nome_da_lif –destination-node nome_do_node_destino –destination-port porta_de_destino
Ou é possível realizar a migração de forma automática, por meio do Takeover do node parceiro ou de uma falha física na porta. Para isso, é preciso configurar o Failover-Group.
Um Failover-Group contém um conjunto de portas de rede (Fisica, Vlan ou interface group) em um ou mais nodes. As portas de rede associadas a um Failover-Group são as portas elegíveis como destino de uma LIF em caso de falha.Você pode gerenciar um Failover-Group adicionando portas, removendo portas, renomeando e listando suas configurações.
O Failover-Group deve ser configurado com atenção, sempre atrelando as portas (Física, Vlan ou Interface Group) que possuem o mesmo tipo de acesso na rede. Isto é, se a porta home de uma LIF está trafegando na Vlan 90, todas as portas que fazem parte do Failover-Group também devem ser capazes de trafegar na Vlan 90.
Passos:
1) Criar um Failover-Group para a rede de gerenciamento do cluster:
a) Começando com o primeiro node, crie o Failover-Group utilizando o seguinte comando:
network interface failover-group create associando a porta e0a.
b) Adicione as portas de gerenciamento de cada node adicional utilizando o seguinte comando:
network interface failover-group create associando a porta e0a.
c) Verifique se o Failover-Group criado contém as portas corretas utilizando o seguinte comando:
network interface failover-group show -failover-group mgmt
004
2) Associe a LIF de Cluster Management ao Failover-Group criado:
a) Identifique o nome e em qual node a LIF de Cluster Management está utilizando o seguinte comando:
network interface show indicando os parâmetros –lif* e –role node-mgmt
b) Habilite o Failover-Group na LIF Cluster-mgmt utilizando o seguinte comando:
network interface modify indicando o parâmetro –vserver *
c) Verifique se a LIF de Cluster-mgmt está utilizando o Failover-Group criado utilizando o seguinte comando:
network interface show indicando o parâmetro –failover
É muito importante e altamente recomendável configurar Failover-Groups para todas as LIFs criadas no cluster. Isto garante alta disponibilidade de acesso aos dados e previne indisponibilidades em decorrência de falhas nas portas físicas dos nodes.




Entre em Contato